ЗНО 2021 Хімія Зовнішнє незалежне оцінювання Типові тестові завдання Дячук Л. Богдан 17699

20
17,00 грн
68,00 грн
20
*може складатися зі всього асортименту сайту
3500 грн
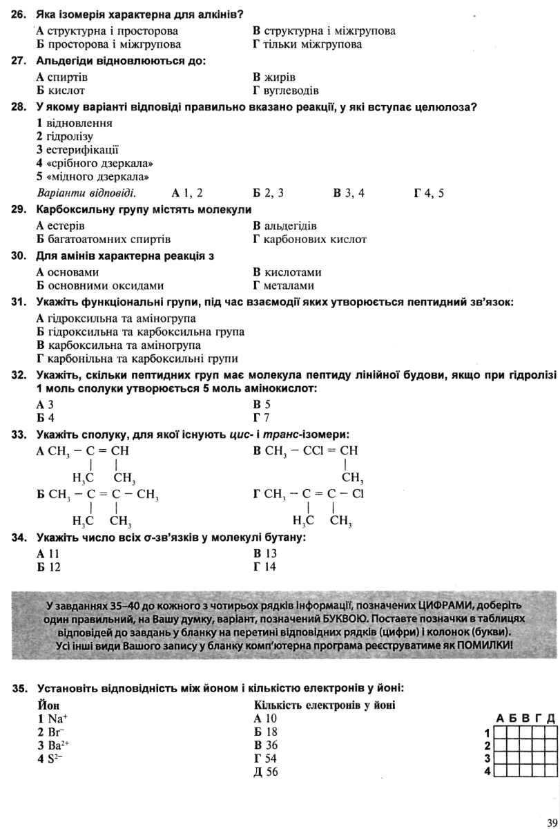
ЗНО 2021 Хімія Зовнішнє незалежне оцінювання Типові тестові завдання Дячук Л. Богдан. Метою пропонованого навчального посібника є організація самостійної роботи учнів при підготовці до зовнішнього незалежного оцінювання з хімії.
У посібнику подано 20 варіантів завдань, які укладено за специфікацією ЗНО, а також бланк відповіді і матеріали для самоконтролю.
Для учнів, учителів та вступників до вищих навчальних закладів.
ЗНО 2021 Хімія Зовнішнє незалежне оцінювання Типові тестові завдання 20 варіантів Дячук Л. Богдан
- ISBN2005000017193
- Видавництво
- Автор
- До підручника
- Серія
- ОбкладинкаМ'яка
- ФорматА-4
- Стор.104
- Рік видання2021
- Тип
- Клас
- ПрограмаНова програма
- Предмет
- Мова
НОВА ПОШТА - від 70 грн
УКРПОШТА - від 55 грн
КУР’ЄР (Нова пошта) - від 100 грн
Популярні книги у категорії ЗНО НМТ 2026
Покупці також шукають Зошити Німецька мова 7 клас НУШ












Станьте першими!